Composto idrossilato di rabeprazolo CAS 675198-19-3 Purezza >99,0% (HPLC) Fabbrica
Shanghai Ruifu Chemical è il produttore leader di [4-(3-Methyoxypropoxy)-3-Methyl-2-Pyridinil]metanolo cloridrato (Rabeprzolo Hydroxy Compound) (CAS: 675198-19-3) con l'intermedio di alta qualità Rebeprazolo Sodio (CAS: 117976-90-6). Ruifu Chemical offre intermedi farmaceutici avanzati e di alta qualità e ingredienti farmaceutici attivi (API).
Ruifu Chemical è in grado di fornire consegne in tutto il mondo, prezzi competitivi, servizio eccellente e disponibilità di piccole quantità e grandi quantità. Acquista gli intermedi di sodio Rabeprazolo, Si prega di contattare: alvin@ruifuchem.com
| Nome chimico | [4-(3-Metiossipropossi)-3-Metile-2-Piridinil]metanolo cloridrato |
| Sinonimi | Composto idrossilato di rabeprazolo; (4-(3-metossipropossi)-3-metilpiridina-2-il)metanolo cloridrato; 4-(3-Metossipropossi)-3-Metilpiridina-2-Metanolo cloridrato |
| Numero CAS | 675198-19-3 |
| Stato delle scorte | Disponibile, la produzione scala fino a tonnellate |
| Formula molecolare | C11H18ClNO3 |
| Peso Molecolare | 247,72 |
| Certificato di autenticità e scheda di sicurezza | Disponibile |
| Origine del prodotto | Shangai, Cina |
| Durata di conservazione | 24 mesi se conservato correttamente |
| Categorie di prodotti | Intermedi farmaceutici |
| Marchio | Ruifu chimica |
| Articolo | Specifiche | Risultati |
| Aspetto | Polvere cristallina giallo chiaro | Polvere cristallina giallo chiaro |
| Metodo di analisi/test | >99,0% (HPLC) | 99,7% |
| Perdita all'essiccazione | <0,50% | 0,23% |
| Residuo all'accensione | <0,20% | 0,06% |
| Qualsiasi singola impurità | <0,50% | <0,50% |
| Impurità totali | <0,50% | 0,30% |
| Metalli pesanti (come Pb) | <20 ppm | <20 ppm |
| Conclusione | Il prodotto è stato testato ed è conforme alle specifiche fornite | |
| Utilizzo | Intermedio di rebeprazolo sodico (CAS: 117976-90-6) | |
Pacchetto: Bottiglia, sacchetto di foglio di alluminio, fusto di cartone da 25 kg o secondo le esigenze del cliente
Condizioni di conservazione:Conservare in contenitori sigillati in luogo fresco e asciutto; Proteggere dalla luce e dall'umidità


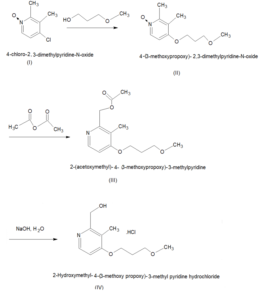
Il [4-(3-metossipropossi)-3-metil-2-piridinil]metanolo cloridrato, composto idrossilato di rabeprazolo, (CAS: 675198-19-3) è un intermedio del rebeprazolo sodico (CAS: 117976-90-6). Il cancro del rabeprazolo sodico azolico è una classe di inibitori della pompa protonica che assume farmaci, sotto forma di sale sodico Ray Bella azolico, sviluppato per la prima volta con successo dalla società giapponese Eisai, nome del prodotto per la forza d'onda, il ruolo degli inibitori della pompa protonica è quello di ridurre la secrezione acida gastrica delle aree stabili della malattia, in modo da curare le ulcere dello stomaco e del duodeno e l'effetto della malattia da rigurgito dell'esofago dello stomaco. Viene utilizzato principalmente nel trattamento clinico di malattie acido-correlate, come la selezione dell'ulcera gastrica e duodenale, l'ulcera peptica, la malattia da reflusso gastroesofageo, la sindrome di zhuoye e così via. Il rebeprazolo sodico ha un inizio d’azione più rapido rispetto all’omeprazolo, ma una durata d’azione più breve. Il rabeprazolo è un sostituto del benzimidazolo che inibisce la secrezione acida gastrica legandosi alla pompa protonica delle cellule parietali gastriche. Questo prodotto inibisce l'azione dell'adenosina trifosfato, un enzima chiave nella produzione di acido gastrico. Può inibire la secrezione di acido gastrico basico e acido gastrico causato dalla stimolazione.





