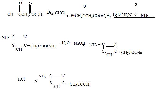
Acido (2-ammino-4-tiazolil)acetico (ATAA) CAS 29676-71-9 Purezza >99,5% (HPLC) Fabbrica intermedia di Cefotiam
Fornitura del produttore con produzione commerciale di alta qualità
Nome chimico: acido (2-ammino-4-tiazolil)acetico CAS: 29676-71-9
| Nome chimico | Acido (2-ammino-4-tiazolil)acetico |
| Sinonimi | ATAA; acido (2-amminotiazolo-4-il)acetico; 2-Aminotiazol-4-Acido acetico; 2-ammino-4-acido acetico tiazolico |
| Numero CAS | 29676-71-9 |
| Numero CAT | RF-PI1112 |
| Stato delle scorte | Disponibile, la produzione scala fino a tonnellate |
| Formula molecolare | C5H6N2O2S |
| Peso Molecolare | 158.18 |
| Marchio | Ruifu chimica |
Pacchetto: Bottiglia, sacchetto di foglio di alluminio, fusto di cartone da 25 kg o secondo le esigenze del cliente.
Condizioni di conservazione:Conservare in contenitori sigillati in luogo fresco e asciutto; Proteggere dalla luce e dall'umidità.


L'acido (2-ammino-4-tiazolil)acetico (CAS: 29676-71-9) può essere utilizzato come intermedio del Cefotiam. Cefotiam è un antibiotico beta-lattamico cefalospo di terza generazione, attivo contro un ampio spettro di batteri sia Gram positivi che Gram negativi. Una cefalosporina semisintetica formulata come dicloridrato per iniezione e come estere del profarmaco, cefotiam hexetil, per la somministrazione orale. L'attività è simile a quella della cefuroxima, ma è leggermente più attiva contro una serie di enterobatteri.





