DMDO-Cl CAS 80841-78-7 Purezza >96,0% (GC) Fabbrica intermedia di Olmesartan Medoxomil
Intermedi di Olmesartan Medoxomil del rifornimento chimico di Ruifu con alta qualità:
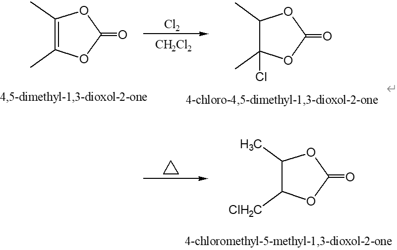
4,5-Dimetil-1,3-Diossolo-2-Uno (DMDO) CAS 37830-90-3
4-Clorometil-5-Metile-1,3-Diossolo-2-Uno (DMDO-Cl) CAS 80841-78-7
Etile 4-(1-Idrossi-1-Metiletile)-2-Propile-Imidazolo-5-Carbossilato CAS 144689-93-0
Dietil 2-Propile-1H-Imidazolo-4,5-Dicarbossilato CAS 144689-94-1
Trityl Olmesartan Etil Estere CAS 144690-33-5
Acido tritilolmesartan CAS 761404-85-7
N2-Tritilolmesartan acido CAS 752179-89-8
Tritil Olmesartan Medoxomil CAS 144690-92-6
Olmesartan Medoxomil CAS 144689-63-4
| Nome chimico | 4-Clorometil-5-metil-1,3-diossolo-2-one |
| Sinonimi | DMDO-Cl |
| Numero CAS | 80841-78-7 |
| Numero CAT | RF-PI1871 |
| Stato delle scorte | Disponibile, capacità produttiva 300 tonnellate/anno |
| Formula molecolare | C5H5ClO3 |
| Peso Molecolare | 148,54 |
| Punto di ebollizione | 93 ℃/2 mmHg |
| Marchio | Ruifu chimica |
| Articolo | Specifiche |
| Aspetto | Liquido da incolore a giallo |
| Identificazione (GC) | Il tempo di ritenzione del picco maggiore nel cromatogramma del campione corrisponde a quello dello standard ottenuto in purezza e delle sostanze correlate |
| Metodo di purezza/analisi | >96,0% (GC) |
| Acqua (di Karl Fischer) | <0,50% |
| Impurità A | <1,50% |
| Impurità B | <0,50% |
| Impurità C | <3,00% |
| Impurità D | <4,00% |
| Impurità E | <0,10% |
| Indice di rifrazione N20/D | 1.476~1.482 |
| Gravità specifica (20/20℃) | 1.357~1.363 |
| Spettro NMR dei protoni | Conforme alla struttura |
| Prova standard | Standard aziendale |
| Utilizzo | Intermedio di Olmesartan Medoxomil (CAS: 144689-63-4) |
Via di sintesi di 4-Clorometil-5-metil-1,3-diossolo-2-one
Pacchetto: Bottiglia di fluorurato, 25 kg/fusto, o in base alle esigenze del cliente
Condizioni di conservazione:Conservare in contenitori sigillati in luogo fresco e asciutto; Proteggere dalla luce e dall'umidità


4-Clorometil-5-metil-1,3-diossol-2-one, (DMDO-Cl) (CAS: 80841-78-7) è un intermedio dell'Olmesartan Medoxomil (CAS: 144689-63-4. L'olmesartan medoxomil è un nuovo antagonista selettivo e competitivo del recettore dell'angiotensina II non peptidico utilizzato per trattare l'ipertensione. L'olmesartan agisce bloccando il legame dell'angiotensina II ai recettori AT1 nel muscolo vascolare. Bloccando il legame anziché la sintesi dell’angiotensina II, l’olmesartan inibisce il feedback regolatorio negativo sulla secrezione di renina. Olmesartan Medoxomil è stato lanciato negli Stati Uniti come Benicar@, un trattamento orale per l'ipertensione.





