Acetilacetone di rifornimento della fabbrica - 4,6-Dimetil-2-(Metilsulfonil)pirimidina CAS 35144-22-0 Ambrisentan Intermedio di alta qualità – Ruifu
Acetilacetone di rifornimento della fabbrica - 4,6-Dimetil-2-(Metilsulfonil)pirimidina CAS 35144-22-0 Ambrisentan Intermedio di alta qualità – RuifuDettagli:
Produttore con alta qualità
Fornitura commerciale Ambrisentan (CAS: 177036-94-1) Intermedi correlati:
3,3-Diphenyloxamericae-2-estere metilico dell'acido carbossilico CAS: 76527-25-8
Metile 2-idrossi-3-metossi-3,3-difenilpropanoato CAS: 178306-47-3
2-Idrossi-3-Metossi-3,3-Acido difenilpropanoico CAS: 178306-51-9
(S)-2-Idrossi-3-metossi-3,3-acido difenilpropionico CAS: 178306-52-0
L-Prolina metil estere cloridrato CAS: 2133-40-6
4,6-Dimetil-2-(metilsolfonil)pirimidina CAS: 35144-22-0
| Nome chimico | 4,6-Dimetil-2-(metilsolfonil)pirimidina |
| Abbreviazione | DLMSP |
| Numero CAS | 35144-22-0 |
| Numero CAT | RF-PI164 |
| Stato delle scorte | Disponibile, la produzione scala fino a tonnellate |
| Formula molecolare | C7H10N2O2S |
| Peso Molecolare | 186.23 |
| Solubilità (solubile in) | Metanolo |
| Marchio | Ruifu chimica |
| Articolo | Specifiche |
| Aspetto | Polvere cristallina gialla |
| Metodo di purezza/analisi | ≥98,0% (HPLC) |
| Punto di fusione | 80,0~84,0℃ |
| Umidità (KF) | ≤0,50% |
| Prova standard | Standard aziendale |
| Utilizzo | Intermedio di Ambrisentan (CAS: 177036-94-1) |
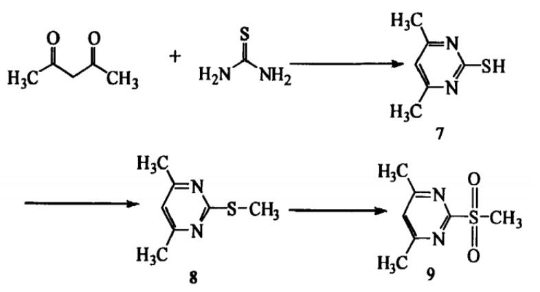
4,6-Dimetil-2-(metilsolfonil)pirimidina (CAS: 35144-22-0) Via sintetica
Pacchetto: Bottiglia, sacchetto di alluminio, fusto di cartone, 25 kg/tamburo o secondo le esigenze del cliente.
Condizioni di conservazione:Conservare in contenitori sigillati in luogo fresco e asciutto; Proteggere dalla luce, dall'umidità e dalle infestazioni di parassiti.


4,6-Dimetil-2-(metilsulfonil)pirimidina CAS 35144-22-0 Intermedio di Ambrisentan (CAS: 177036-94-1).
Ambrisentan (CAS: 177036-94-1) è un antagonista selettivo del recettore dell'endotelina-A (ETA) introdotto per il trattamento orale di pazienti con ipertensione arteriosa polmonare (PAH), per migliorare la capacità di esercizio e ritardare il peggioramento clinico. È il terzo antagonista del recettore ET-ad essere commercializzato per questa indicazione dopo bosentan e sitaxsentan. La PAH è una malattia rara delle piccole arterie polmonari caratterizzata da proliferazione e rimodellamento vascolare, con conseguente aumento progressivo della resistenza vascolare polmonare e della pressione arteriosa polmonare e, infine, insufficienza ventricolare destra e morte prematura. I primi sintomi della PAH comprendono la comparsa graduale di mancanza di respiro, affaticamento, palpitazione, edema e svenimento. L'endotelina-1 (ET-1), un potente vasocostrittore e mitogeno della muscolatura liscia, contribuisce in modo determinante all'accelerazione della malattia e i suoi effetti sono mediati dall'attivazione dei recettori ETA ed ETB.
Ambrisentan (CAS: 177036-94-1), (+)-(2S)-2-[(4,6-dimetilpirimidina-2-il)ossi]-3-metossi-3,3-acido difenilpropanoico (Letairis), è un potente antagonista selettivo dell'endotelina ETA indicato nel trattamento dell'ipertensione arteriosa polmonare (PAH). La PAH è una malattia rara che, se non trattata, ha un alto tasso di mortalità. Nel giugno del 2007, la FDA ha concesso l'approvazione dell'Ambrisentan (CAS: 177036-94-1) per il trattamento una volta al giorno della PAH. Gli studi hanno dimostrato che migliora una camminata di 6 minuti di circa 30-60 metri per i pazienti che ricevono placebo.
Immagini dei dettagli del prodotto:
Guida al prodotto correlato:
Come risultato della nostra specializzazione e consapevolezza della riparazione, la nostra azienda ha guadagnato un'eccellente popolarità tra gli acquirenti di tutto il mondo nell'ambiente per l'acetilacetone di fornitura in fabbrica - 4,6-Dimetil-2-(Metilsulfonil)pirimidina CAS 35144-22-0 Ambrisentan Intermediate High Quality – Ruifu, Il prodotto verrà fornito in tutto il mondo, come ad esempio: Bangladesh, Montpellier, Perù. Ora stiamo sinceramente considerando di concedere agenti di marca in diverse aree e il massimo margine di profitto dei nostri agenti è la cosa più importante a cui teniamo. Benvenuto a tutti gli amici e clienti che si uniscono a noi. Siamo pronti a condividere una società vantaggiosa per tutti.




